七(第4/6页)
先前那个担任“替补击球员”的保姆看来是个做事一板一眼的人,她把我怕给博士添乱而基本从未动过的书房里的数学书,全部摆上了书架,摆不下的就摆到衣柜上面或者塞到沙发底下一点点的空间里。而且分类的标准就只有一个,就是开本大小。乍一看确实整整齐齐没错,然而多年培育而成的隐藏在混沌中的秩序,却也被破坏殆尽了。
我突然有些担心,开始寻找装着棒球卡的那个饼干盒。它现在放得离原来的架子不远,被用来调整书的高低了。里面的江夏也平安无事。
但是,无论阪神虎的排名有了变动,还是书房变得整洁了,博士的生活却没有变化。只不过,在不到两天的时间里,前保姆的努力便成了泡影,书房回复到了令人怀念的原先那幅景象。
我把博士那天放到餐桌正中央的那张便条,珍而重之地收藏了起来。值得庆幸的是,当我伸手去拿时,得到了老太太的默许。我小心翼翼地把它折好,收进了放有平方根照片的月票夹里。
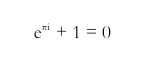
为了理解上面写着的算式的含义,我去了镇上的图书馆。虽然只要向博士请教,他马上就能告诉我,但我没有这样做,因为我有一种预感,感到独自与这道算式面对面好好交流,或许能够更加深入地理解它所蕴藏的含义。这纯粹只是预感,毫无根据的。在与博士短短的交往过程中,不知不觉中,面对数字和符号,我也能够发挥像面对音乐和故事一样的想象力了。这道简短之极的算式,拥有不容见弃的分量。
再度踏足图书馆还是去年暑假以来的第一次,上回是为了平方根的自由研究作业来借有关恐龙的图书。数学角位于二楼东侧,在最靠里的地方。除我以外不见任何人影,寂寂无声。
博士书房里的书,每一本都残留着被博士的手抚摸过的某种痕迹,不是粘着手垢,就是书页折了起来,再就是夹着食物碎屑。但图书馆的书却整洁过了头,令人越发感到难以接近。我感到这里面必定有好些数学书终其一生都不会被任何人的手打开。
我从月票夹里取出了便条。

还是博士平常的笔迹。整体带着圆溜溜的感觉,铅笔印子断断续续,可却不给人凌乱的印象,相反,符号的形状和0的接合处使人感觉到郑重其事。相比纸张面积,算式显得偏小,它被恭谨地记在正中央略略靠上的地方。
重新仔细审视,就发现这式子不同寻常。与这些我所知道的为数不多的公式相比,例如,长方形的面积等于长乘宽;直角三角形斜边的平方,等于其余两条边的平方之和,等等,它出奇地不平衡。出现的数字只有1和0,计算方法也只有加法一种,固然简洁之极,但前头的符号实在是头重脚轻。而撑住这一头重的,最终却是一个0。
但是,说是查资料,该以什么为线索着手,心里却没一点数。无奈之下,只好随手抽出手边的几本哗啦哗啦翻看。
这一本那一本,这一页那一页,除了数学还是数学。简直难以置信,这些竟是与自己同样的人类所共同拥有的。这里的一页一页,难道就是揭示宇宙奥秘的设计图吗?就是从上帝的记事本里抄写下来的东西吗?
在我的想象当中,宇宙的造物主,在某个遥远的天尽头编织着蕾丝。那是能够透过无论何等微弱的光线的、用上等丝线织就的蕾丝。图案仅只存在于造物主脑中,任谁都无法窃取图样,也无法预测下一个出现的纹样。织针永不停歇,蕾丝无限延伸,似波浪起伏,随风轻摇。令人禁不住想要拿在手里放到光下细细赏玩。还要眼中噙泪,如痴如醉地贴在脸颊上摩挲。还要祈求上苍,恳请允许我们设法用自己的语言重新编织业已编好的纹样。以求转织成自己独有的东西——哪怕一点点边角也好,带回地上。
不期然跃入眼帘的,是一本论述费马大定理的书。内容与其说是数学书,不如说更像历史读物,因此我也能够理解到某种程度。尽管知道费马大定理是一个尚未解决的难题,可仍旧大吃一惊:定理的内容竟可以表达得这般简洁。

哎?就这么一行字?我险些脱口而出。我觉得满足算式的自然数多少都找得出来。假设n等于2,那就是完美的毕达哥拉斯定理。难道n仅大1,就会破坏秩序?根据站着时粗粗翻看所得,这道命题并非来自一篇精彩的论文,而是费马匆匆写就的,据说费马本人以纸张不够为由不曾留下证明。之后,证明它成了数学世界里一个绝佳的目标,激励着众多天才不断朝它发起挑战,然而悉数碰壁。一个人一时的突发奇想,竟使得数学家们苦恼长达三个世纪之久,想到这里,觉得数学家们也挺可怜的。